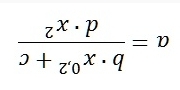
Das doofe ist, dass dein Polynom einen geraden und eine ungeraden Exponenten hat ![]()
Formel umstellen
-
-
hast du "ihn" schon gefragt ?

beten wäre dann aber wirklich der aller letzte Strohhalm

-
frag doch die leute in ungarn, die beschäftigen sich grad mit formeln... ahahahahahaha

-
hallo? es is ferienzeit

ihr kriegt jetz alle rot von mir

-
Vielleicht könnte ML ja an Tool basteln


-
Vielleicht könnte ML ja an Tool basteln


Oder gaustar

-
Umstellen konnte ich sie nicht. aber auf den Kopf stellen

-
Umstellen konnte ich sie nicht. aber auf den Kopf stellen




-
Oder gaustar

ich hab mal en Tool gebaut. Inner 11. Klasse, hat aber net funktioniert




-
hast du "ihn" schon gefragt ?

Du befragst deinen Pimmel nach mathematischen Aufgaben?

-
-
soll ich lösen !

-
soll ich lösen !

ne. lass die flachpfeiffen ruhig noch wat tüfteln

-
ne. lass die flachpfeiffen ruhig noch wat tüfteln


Du weisst die Lösung auch nur von mir

-
-
ne. lass die flachpfeiffen ruhig noch wat tüfteln


hab dir ja zur überprüfung die lösung per pn schon vor einer halben stunde
geschickt. du hast es ja auch noch mal geprüft und bist auf das gleiche
ergebnis gekommen..
aber lassen wir sie noch etwas zittern
-
An der Lösung wird im Hintergrund gearbeitet.

-
Du weisst die Lösung auch nur von mir

klar
hab dir ja zur überprüfung die lösung per pn schon vor einer halben stunde
geschickt. du hast es ja auch noch mal geprüft und bist auf das gleiche
ergebnis gekommen..
aber lassen wir sie noch etwas zittern
si, wa perfekt hergeleitet
-
An der Lösung wird im Hintergrund gearbeitet.

gähn, gibst halt dann bescheid
-
soll ich mich lösen !

Aber bitte nur auf Toilette

-
tina bitte unterlasse es brasi und mich wegen der lösung bettel pn zu schicken !
streng dir halt mal an
-
-
Jetzt mitmachen!
Du hast noch kein Benutzerkonto auf unserer Seite? Registriere dich kostenlos und nimm an unserer Community teil!